目录
1 引言2 公式3 举例4 应用4.1 读入图像4.2 挑选源图四个点4.3 进行透视变换5 应用6 总结1 引言
如果你想对图像进行校准,那么透视变换是非常有效的变换手段。透视变换的定义为将图像投影到一个新的视平面,通常也被称之为投影映射。

2 公式
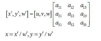
一般来说,通用的图像变换公式如下所示:

上述公式中,u,v代表原始图像坐标,x,y为经过透视变换的图片坐标,其中变换矩阵为3X3形式。进而可以得到:

3 举例
在介绍opencv的透视变换函数之前,我们举例来讲解该算法的原理:

直观的来看,透视变换的作用就是将左侧图像的坐标点
[[50,0],[150,0],[0,200],[200,200]]
转化为新的坐标
[[0,0],[200,0],[0,200],[200,200]]
通过计算我们知道,转换矩阵如下:

我们来验证一下,采用左上角的点(50,0)带入公式,如下:

接着我们将列向量的前两维度除以第三维执行归一化:

所以我们知道原图左上角点执行透视变换后的映射关系:

4 应用
本文以扑克牌的例子来进行讲解,样例结果如下:

4.1 读入图像
首先我们来读入一副彩色图像,如下:
import cv2
import numpy as np
img = cv2.imread("image/sample.jpg")
h, w, c = img.shape # h=240 w=320
4.2 挑选源图四个点
接着我们需要挑选四个点,我们这里采用左上,左下,右下和右上,下面的代码把我们挑选的四个点画到图像上
src_list = [(61, 70), (151, 217), (269, 143), (160, 29)] for i, pt in enumerate(src_list): cv2.circle(img, pt, 5, (0, 0, 255), -1) cv2.putText(img,str(i+1),(pt[0]+5,pt[1]+10),cv2.FONT_HERSHEY_SIMPLEX, 0.5, (0, 0, 255), 2) pts1 = np.float32(src_list)
结果如下:

4.3 进行透视变换
首先选择四个目的图像上的点,然后调用openv函数进行透视变换,代码如下:
pts2 = np.float32([[0, 0], [0, w - 2], [h - 2, w - 2], [h - 2, 0]])
matrix = cv2.getPerspectiveTransform(pts1, pts2)
result = cv2.warpPerspective(img, matrix, (h, w))
cv2.imshow("Image", img)
cv2.imshow("Perspective transformation", result)
cv2.waitKey(0)
得到结果如下:

5 应用
我们在实际应用中,可以使用透视变换来替换广告牌中对应的背景图,结果如下:
广告牌:

Logo图:

结果图:

6 总结
本文介绍了图像处理透视变换的原理和具体代码实现,并给出了具体应用示例。
7 参考
参考 链接一 链接二

