golang time包
和python一样,golang时间处理还是比较方便的,以下介绍了golang 时间日期,相关包 "time"的相关内容,分享出来供大家参考学习,下面话不多说了,来一起看看详细的介绍。
时间戳
当前时间戳
fmt.Println(time.Now().Unix()) # 1389058332
str格式化时间
当前格式化时间
fmt.Println(time.Now().Format("2006-01-02 15:04:05")) // 这是个奇葩,必须是这个时间点, 据说是go诞生之日, 记忆方法:6-1-2-3-4-5
# 2014-01-07 09:42:20
时间戳转str格式化时间
str_time := time.Unix(1389058332, 0).Format("2006-01-02 15:04:05")
fmt.Println(str_time)
# 2014-01-07 09:32:12
str格式化时间转时间戳
这个比较麻烦
the_time := time.Date(2014, 1, 7, 5, 50, 4, 0, time.Local) unix_time := the_time.Unix() fmt.Println(unix_time) # 389045004
还有一种方法,使用time.Parse
the_time, err := time.Parse("2006-01-02 15:04:05", "2014-01-08 09:04:41")
if err == nil {
unix_time := the_time.Unix()
fmt.Println(unix_time)
}
# 1389171881
以上简单介绍了golang中time包的相关内容,下面开始本文的正文。
引言
这篇文章简单的介绍下golang time 包下定时器的实现,说道定时器,在我们开发过程中很常用,由于使用的场景不同,所以对定时器实际的实现也就不同,go的定时器并没有使用SIGALARM信号实现,而是采取最小堆的方式实现(源码包中使用数组实现的四叉树),使用这种方式定时精度很高,但是有的时候可能我们不需要这么高精度的实现,为了更高效的利用资源,有的时候也会实现一个精度比较低的算法。
跟golang定时器相关的入口主要有以下几种方法:
<-time.Tick(time.Second)
<-time.After(time.Second)
<-time.NewTicker(time.Second).C
<-time.NewTimer(time.Second).C
time.AfterFunc(time.Second, func() { /*do*/ })
time.Sleep(time.Second)
这里我们以其中NewTicker为入口,NewTicker的源码如下:
func NewTicker(d Duration) *Ticker {
if d <= 0 {
panic(errors.New("non-positive interval for NewTicker"))
}
c := make(chan Time, 1)
t := &Ticker{
C: c,
r: runtimeTimer{
// when(d)返回一个runtimeNano() + int64(d)的未来时(到期时间)
//runtimeNano运行时当前纳秒时间
when: when(d),
period: int64(d), // 被唤醒的时间
f: sendTime, // 时间到期后的回调函数
arg: c, // 时间到期后的断言参数
},
}
// 将新的定时任务添加到时间堆中
// 编译器会将这个函数翻译为runtime.startTimer(t *runtime.timer)
// time.runtimeTimer翻译为runtime.timer
startTimer(&t.r)
return t
这里有个比较重要的是startTimer(&t.r)它的实现被翻译在runtime包内
func startTimer(t *timer) {
if raceenabled {
racerelease(unsafe.Pointer(t))
}
addtimer(t)
}
func addtimer(t *timer) {
lock(&timers.lock)
addtimerLocked(t)
unlock(&timers.lock)
}
上面的代码为了看着方便,我将他们都放在一起
下面代码都写出部分注释
// 使用锁将计时器添加到堆中
// 如果是第一次运行此方法则启动timerproc
func addtimerLocked(t *timer) {
if t.when < 0 {
t.when = 1<<63 - 1
}
// t.i i是定时任务数组中的索引
// 将新的定时任务追加到定时任务数组队尾
t.i = len(timers.t)
timers.t = append(timers.t, t)
// 使用数组实现的四叉树最小堆根据when(到期时间)进行排序
siftupTimer(t.i)
// 如果t.i 索引为0
if t.i == 0 {
if timers.sleeping {
// 如果还在sleep就唤醒
timers.sleeping = false
// 这里基于OS的同步,并进行OS系统调用
// 在timerproc()使goroutine从睡眠状态恢复
notewakeup(&timers.waitnote)
}
if timers.rescheduling {
timers.rescheduling = false
// 如果没有定时器,timerproc()与goparkunlock共同sleep
// goready这里特殊说明下,在线程创建的堆栈,它比goroutine堆栈大。
// 函数不能增长堆栈,同时不能被调度器抢占
goready(timers.gp, 0)
}
}
if !timers.created {
timers.created = true
go timerproc() //这里只有初始化一次
}
}
// Timerproc运行时间驱动的事件。
// 它sleep到计时器堆中的下一个。
// 如果addtimer插入一个新的事件,它会提前唤醒timerproc。
func timerproc() {
timers.gp = getg()
for {
lock(&timers.lock)
timers.sleeping = false
now := nanotime()
delta := int64(-1)
for {
if len(timers.t) == 0 {
delta = -1
break
}
t := timers.t[0]
delta = t.when - now
if delta > 0 {
break // 时间未到
}
if t.period > 0 {
// 计算下一次时间
// period被唤醒的间隔
t.when += t.period * (1 + -delta/t.period)
siftdownTimer(0)
} else {
// remove from heap
last := len(timers.t) - 1
if last > 0 {
timers.t[0] = timers.t[last]
timers.t[0].i = 0
}
timers.t[last] = nil
timers.t = timers.t[:last]
if last > 0 {
siftdownTimer(0)
}
t.i = -1 // 标记移除
}
f := t.f
arg := t.arg
seq := t.seq
unlock(&timers.lock)
if raceenabled {
raceacquire(unsafe.Pointer(t))
}
f(arg, seq)
lock(&timers.lock)
}
if delta < 0 || faketime > 0 {
// 没有定时器,把goroutine sleep。
timers.rescheduling = true
// 将当前的goroutine放入等待状态并解锁锁。
// goroutine也可以通过呼叫goready(gp)来重新运行。
goparkunlock(&timers.lock, "timer goroutine (idle)", traceEvGoBlock, 1)
continue
}
// At least one timer pending. Sleep until then.
timers.sleeping = true
timers.sleepUntil = now + delta
// 重置
noteclear(&timers.waitnote)
unlock(&timers.lock)
// 使goroutine进入睡眠状态,直到notewakeup被调用,
// 通过notewakeup 唤醒
notetsleepg(&timers.waitnote, delta)
}
}
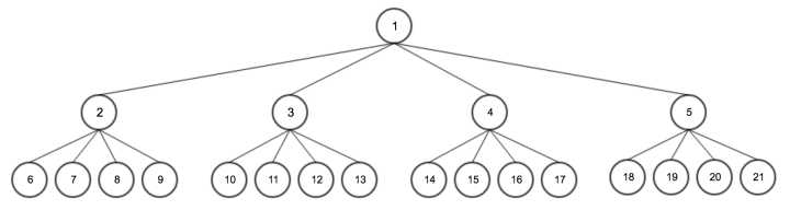
golang使用最小堆(最小堆是满足除了根节点以外的每个节点都不小于其父节点的堆)实现的定时器。golang []*timer结构如下:

golang存储定时任务结构
addtimer在堆中插入一个值,然后保持最小堆的特性,其实这个结构本质就是最小优先队列的一个应用,然后将时间转换一个绝对时间处理,通过睡眠和唤醒找出定时任务,这里阅读起来源码很容易,所以只将代码和部分注释写出。
总结
以上就是这篇文章的全部内容了,希望本文的内容对大家的学习或者工作具有一定的参考学习价值,如果有疑问大家可以留言交流,谢谢大家对的支持。

