目录
前言
可使用java.lang.Math类的sqrt(double)方法求平方根。Math是java.lang包中的类,而Double为对象中的基本类型。但是如果不使用库函数呢?有什么办法实现平方根函数呢?
方法:二分查找、牛顿迭代法、利用平方数的性质
利用平方数的性质
平方数的性质:n²=1+1+2+2+....+n-1+n-1+n。例如4²=1+1+2+2+3+3+4=16。
1+3为2的平方,1+3+5为3的平方,

也就是说每一次加一个奇数,再设置一个变量记录加了多少个奇数。
复杂度分析:
时间复杂度:O(N),每次+2的循环,为(1/2)N的时间复杂度,去掉系数,为O(N)
空间复杂度: O(1),只使用了有限常数个变量;
int sqrt(int x) {
if(x<=0) return 0; //小于等于0 返回0
int ans = 1;
int num = 1;
int i = 3;
while(num+i<=x){
num+=i;
ans ++; // 每加一个奇数,ans+1
i += 2;
}
return ans;
}
二分查找
如果求解一个数的平方根,这个结果肯定是在1到这个数的范围,因此我们可以使用二分查找的方法。例如求解x的平方根,思路:
- 初始范围:1 ~ x,使用left标记1,right标记x ,取left~right的中间值,为 middle;
- 当middle*middle <= x && (middle+1)*(middle+1) > x时,返回结果
- 当 middle*middle < x时,到右半部分继续寻找,范围改成 middle+1 ~ right
- 当middle*middle > x时,到左半部分继续寻找,范围改成 left ~ middle+1
注: 这种方法只能使用于整数的开跟

复杂度分析:
时间复杂度:O(logn),二分查找的复杂度,每次循环减少一半
空间复杂度;O(1),只使用了有限常数个变量;
代码实现:
public int mySqrt(int x) {
if (x <= 0) {
return 0;
}
int left = 1, right = x;
while (true) {
int middle = (left + right) >> 1;
if (middle <= x / middle && (middle+1) > x / (middle+1)) {
return (int) middle;
} else if (middle < x / middle) {
left = middle + 1;
} else {
right = middle - 1;
}
}
}
牛顿迭代法
牛顿迭代法简介
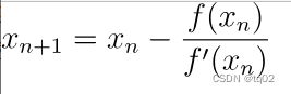
假设方程 F(x)=0 在 x 附近有一个根,那么用以下迭代式子:
依次计算X1、X2、X3、...........那么序列将无限逼近方程的根。
牛顿迭代法的原理很简单,其实是根据f(x)在x0附近的值和斜率,估计f(x)和x轴的交点,看下面的动态图:

代码示例:
public class Solution {
public int sqrt (int x) {//牛顿迭代法
if(x==0||x==1) return x;//题中告诉我们x的范围: 0 <= x < 2^31-1
long X0 = x;//使用int进行加法运算可能溢出,所以采用long型
long X1 = 0;//下一个迭代变量,为了方便理解,也可只使用X0
while(X0 > x/X0 ) { // X0^2>x循环
X1=(X0+x/X0) >> 1;//由迭代公式得,采用右移1位操作代替除以2,运算更快
X0=X1;//把下一个迭代变量赋给X0,统一操作,方便继续处理
}
return (int)X0;//返回值类型为int,因此需要做强制类型转换
}
}
总结
牛顿迭代法不像二分查找法、平方数,需要唤醒一下各位哥哥姐姐们的高中数学知识,只有这样才能理解该公式。如果唤醒失败,推荐使用二分查找法,不要逞强哦。



